Improving outcomes of transplants using high kidney donor profile index kidneys through donor-recipient matching
Kyle Jackson1, Jennifer Motter2, Allan Massie2, William Kitchens1, Kenneth Newell1, Ronald Parsons3, Dorry Segev2.
1Surgery, Emory University Hospital, Atlanta, GA, United States; 2Surgery, New York University, New York, NY, United States; 3Surgery, University of Pennsylvania, Philadelphia, PA, United States
Introduction: High Kidney Donor Profile Index (KDPI) kidneys represent one possible expansion to the donor pool, but are frequently unused due to inferior post-transplant outcomes. We hypothesized that certain recipients might be less negatively impacted by high KDPI kidneys.
Methods: Using national registry data from the United States (from the SRTR) from 2006-2022, we compared 11,927 recipients of high KDPI kidneys to 203,990 recipients of lower KDPI kidneys. We identified recipient characteristics that amplified the negative impact of high KDPI kidneys on mortality and graft loss using interaction analysis. Recipients without these characteristics were considered preferred recipients.
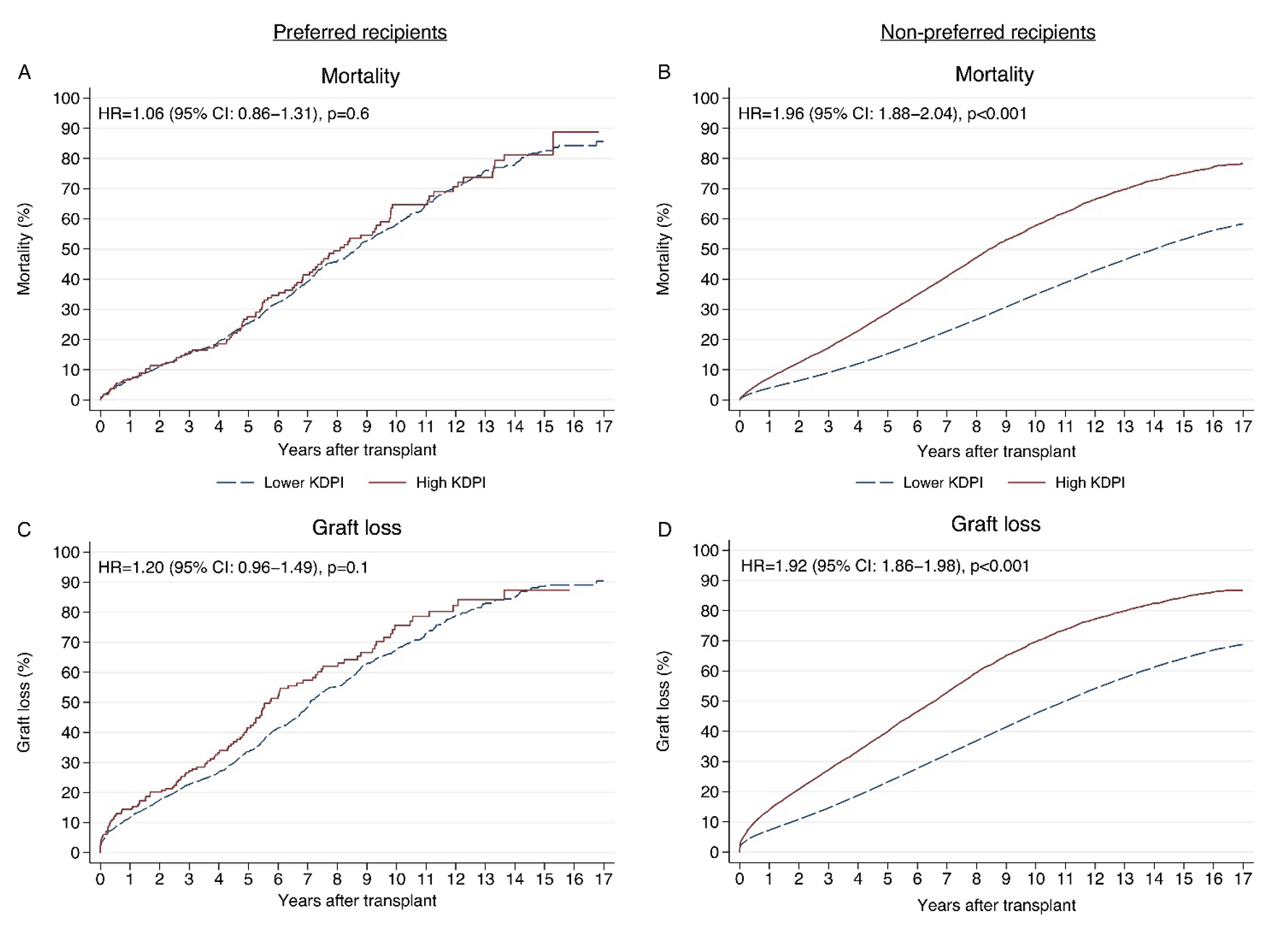
Results: Preferred recipients were determined to be ≥60 years old, black race, BMI ≥35 kg/m2, and with hypertension or diabetes as the cause of their ESRD. These preferred recipients an equivalent mortality risk (HR: 0.861.061.31, p=0.6) with a high KDPI kidney vs. a lower KDPI kidney, compared to a 96% higher risk (HR: 1.881.962.04, p<0.001) for non-preferred recipients (Figure). Similarly, preferred recipients had an equivalent risk of graft loss (HR: 0.961.201.49, p=0.1) with a high KDPI kidney vs. a lower KDPI kidney, compared to a 92% higher risk (HR: 1.861.921.98, p<0.001) for non-preferred recipients.
Conclusion: Matching high KDPI kidneys to recipients with characteristics of the preferred recipient phenotype might be one strategy to optimize the safe use of these kidneys.

[1] Marginal kidney
[2] High KDPI
[3] Donor-recipient matching
[4] Transplant outcomes
