Education:
MD (6Y) Padova University, Padua, Veneto, Italy 1998
General Surgery (6Y) Padova University, Padua, Veneto, Italy 2005
PhD (3Y) Padova University, Padua, Veneto, Italy 2009
Master Laparoscopic Surgery (1Y) Strasbourg University, France 2013
FEBS Fellow European Board of Surgery (Division of Transplantation Surgery), 2010-on going
Full Professor in General Surgery Certification by the Ministry of University and Research Italy 2013 on-going
Career/Academic Appointments:
2000 Visiting Resident (Transplant), Mount Sinai Hospital, New York, New York
2004-05 Research Fellow (Transplant), Mount Sinai Hospital, New York, New York
2005 Visiting Resident (Transplant), Jackson Memorial Hospital, Miami, Florida
2006-ongoing Assistant Professor, School of General Surgery, Padova University, Padova, Italy
2006-ongoing Trainer, Neo-Graduate Medical Doctor, Padova University, Padua, Italy
2006 Consultant/Attending General Surgery Abano Terme Hospital (Padova)
2007 Attending 4th General and Emergency Surgery Ca’ Foncello Hospital Treviso
2008-2009 Attending 1st General Surgery and Transplant Padova University
2009 Transplant Fellow, Padova University, Padova, Italy 2010
Attendance at the 2nd Preparatory Course by UEMS for FEBS Certification (Santander SPAIN)
2010-2012 Referral Attending Surgeon, Pediatric Liver Transplantation Program
2011-2012 Teaching conferences at the Ph.D. School of Surgical Sciences and Technological Applications, University of Padova
2013 Laparoscopic Surgery Master Certification, University of Strasbourg, France
2015-ongoing Professor of Medicine and General Surgery, Padova University, Padova, Italy
2015-19 Visiting Assistant Professor of Surgery, Transplant and Immunology Unit, Yale School of Medicine, New Haven, Connecticut, USA.
Actual Position:
2023-ongoing Researcher Type B (Associate Professor in 3 Y) HB and Liver Transplant Unit, Bari University Italy
2008- Jan,13 2023 Senior Attending at Hepato Pancreatic Biliary and Liver Transplantation Unit and Operative Endoscopist Padova University Italy (actually unpaid leave)
2015-2023 Professor of Medicine and Surgery: School of Medicine, Nursing, Obstetrics Padova University Italy
2014-ongoing Collaboration in the Academic and Experimental field with the Transplantation and Immunology Unit Department of Surgery Yale University
2017-ongoing Referral between Padova University and Favaloro Foundation Buenos Aires University Argentina
2020-ongoing Adjunct Professor, Department of Surgery, Transplantation and Immunology Unit, Yale University USA
2022-ongoing Adjunct Professor, Facultad de Ciencias Medicas Universidad Favaloro, Fundacion Universitaria Renè Favaloro, Buenos Aires, Argentina
N-acetylcysteine and liver transplant. Advantages of its administration in multi-organ donors especially during a world economical crisis. Long-term sub-group analysis in a randomized study
Francesco D'Amico1,2, Michele Finotti1, Umberto Cillo1, Patrizia Burra1, Alberto Zanetto1, Alessandro Vitale1.
1DISCOG, Padova university, Padova, Italy; 2DiMePRe-J, Bari University, Bari, Italy
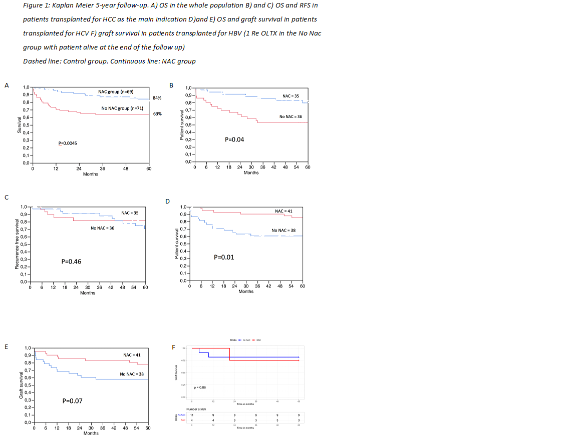
Background: Liver transplantation (LT) is the main indication for the treatment of end-stage liver disease but have to face organ shortages. Using marginal donors is an option to increase the donor pool. Previous studies showed that the graft procured using N-acetylcysteine (NAC) provides a longer survival compared to perfusion with standard solutions, especially in marginal liver donors (EDITORIAL Mone et al. LiverTranspl., Vol. 19, No. 2, 2013). We now evaluate the effect of NAC perfusion compared to control (no NAC protocol) at a 5-year follow-up, with a special focus on the overall survival (OS) and graft survival in the different underlying liver diseases.
Methods: Single-center, retrospective review of the OS and graft survival among NAC and control group, with a sub-stratification based on the LT indication.
Results: 140 donors were enrolled: 69 in the NAC protocol and 71 in the control group. The 5-year OS was 84% in the NAC protocol compared to 63% in the control (p=0.0045). In LT for HCC, the OS at 5 years was 80% and 55% in the study group and control group, respectively (p=0.04, figure 1B), with no statistical difference in the RFS (p=0.46, figure 1C). Furthermore, in cost analysis, the resources needed for the NAC protocol is negligible compared to the control group. The same beneficial tendency of NAC protocol application has been seen in the other organs (lungs, hearts, pancreas, and intestine)
Conclusion: The application of NAC infusion in liver donors improves the overall survival of the recipient, especially in the HCC and HCV LT indications.


Abbreviations: Alpha-Fetoprotein (AFP), Autoimmune Hepatitis (AIH), Biopsy Proven Acute Rejection (BPAR), Early Allograft Dysfunction (EAD), Cholestatic Fibrosing Hepatitis (FCH), Donor Risk Index (DRI), Hepatitis Activity Index (HAI), Hepatocellular Carcinoma (HCC), Intensive Care Unit (ICU), Ishak score (F), Liver transplantation (LT), Marginal Liver Donors (MLD), N-acetylcysteine (NAC), Overall Survival (OS), Relapse Free Survival (RFS), Waiting List (WL), Vascular Invasion (VI).
[1] marginal donor
[2] HCV recurrence
[3] cost analyses
[4] liver transplant
[5] long term survival
[6] N-acetylcysteine (NAC)
