Increases in donor-derived cell-free DNA prior to biopsy proven rejection in kidney transplant
Jonathan Bromberg1, Zachary P Demko2, Navchaten Kaur2, Kyle Marshall2, Madeleine Armer-Cabral2, Hossein Tabriziani2, Sangeeta Bhorade2, Philippe Gauthier2, Milagros Samaniego-Picota3.
1Department of Surgery, University of Maryland School of Medicine, Baltimore, MD, United States; 2Natera, Inc., Austin, TX, United States; 3Henry Ford Transplant Institute, Detriot, MI, United States
The ProActive Study Investigators.
Introduction: The most common clinical indicators for kidney allograft rejection include serum creatinine and proteinuria. Unfortunately, both are lagging indicators that increase once injury has already occurred. Donor-derived cell-free DNA (dd-cfDNA) has been validated as a marker for detection of allograft active rejection (AR) in kidney transplant recipients as well as other solid organ transplants. We sought to test whether dd-cfDNA is a leading indicator of rejection in kidney transplant recipients (KTR).
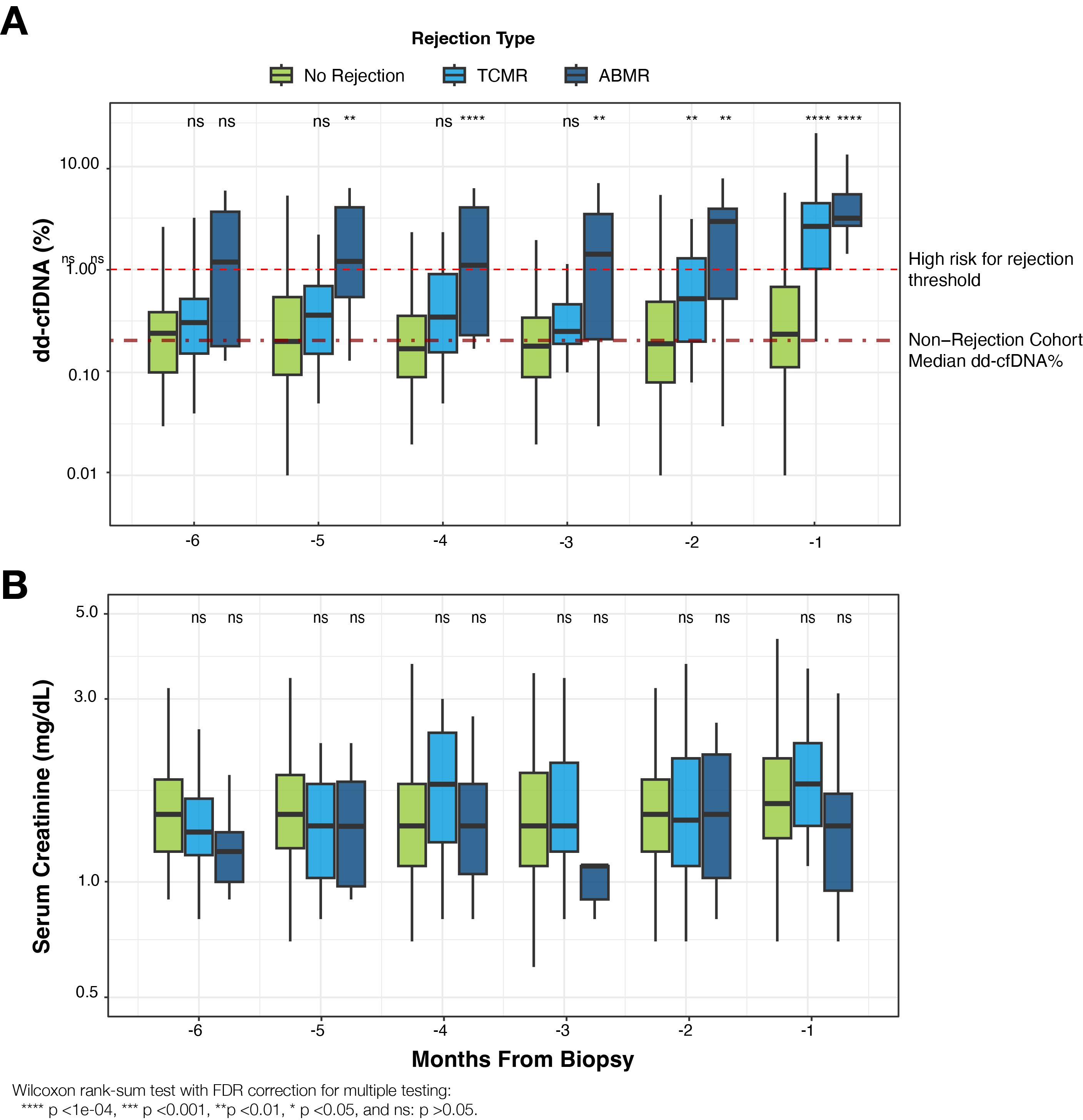
Method: KTR with a biopsy (Bx) and >1 dd-cfDNA tests in the six months prior to the Bx from a 1,631 patient interim analysis cohort of the ProActive registry study (ClinicalTrials.gov NCT04091984) were included. Dd-cfDNA results (the ProsperaTM test) and serum creatinine (SCr) results were grouped by time prior to biopsy and stratified by ultimate Bx finding: ABMR, TCMR, and non-rejection.
Results: 424 patients had a Bx and >1 dd-cfDNA result (1,013 total) drawn 0-180 days prior to Bx. 94.5% of dd-cfDNA tests (958/1,013) had a matched SCr test performed at the same visit. The cohort was 59.9% male, 52.1% white and had a median age of 52.0 years. Clinical Bx diagnoses included 26 ABMR, 62 TCMR, and 336 non-rejection.
Median dd-cfDNA fraction (dd-cfDNA%) was significantly elevated five months prior to an ABMR Bx and two months prior to a TCMR Bx, compared to non-rejection (Figure 1A). SCr levels were not significantly elevated at any time point prior to Bx in cases with rejection (Figure 1B).

Of the 336 patients with a non-rejection Bx, 11.3% (n=38) subjects had one increased dd-cfDNA test result (defined as >1%), and 5.3% (n=18) had two or more increased dd-cfDNA test results during the 6 month period prior to Bx. At the time of a non-rejection Bx, the median eGFR was significantly lower in patients with two or more prior increased dd-cfDNA test results (45.4 [30.5-52.6]) compared to patients with either zero (58.5 [47.2-72.4]) (p=0.00018), or one prior increased dd-cfDNA test result (60.2 [48.3-72.0]) (p=0.0006) (Figure 2).
Conclusion: These data support the hypothesis that dd-cfDNA% is a leading indicator of rejection, and was elevated up to five months prior to a biopsy proven ABMR rejection and two months prior to a biopsy proven TCMR rejection. In patients with a non-rejection biopsy, increased dd-cfDNA was significantly associated with reduced eGFR. Earlier detection of AR by dd-cfDNA may allow for earlier treatment of rejection.
[1] dd-cfDNA
[2] Kidney Transplant
[3] Rejection
[4] Biomarker
