Functional PD-L1 transfer from TLR-Bregs to activated splenic CD4+T cells
Minxue Liao1,2,3, Kang Mi Lee1,2, Tomofuji Katsuhiro1,2, Kevin Deng1, Rude Matheson1,2, Gaoping Zhao4, Shaoping Deng4, Ji Lei1,2,3, James F. Markmann1,2,3.
1Center for Transplantation Sciences, Massachusetts General Hospital, Boston, MA, United States; 2Department of Surgery, Massachusetts General Hospital, Boston, MA, United States; 3Perelman School of Medicine at the University of Pennsylvania, Philadelphia, PA, United States; 4School of Medicine, University of Electronic Science and Technology of China, Chengdu, People's Republic of China
Markmann lab.
Introduction: This study checks if PD-L1 transferred from Toll-Like-Receptor-Stimulated Bregs (TLR-Bregs) to activated CD4+T cells is functional.
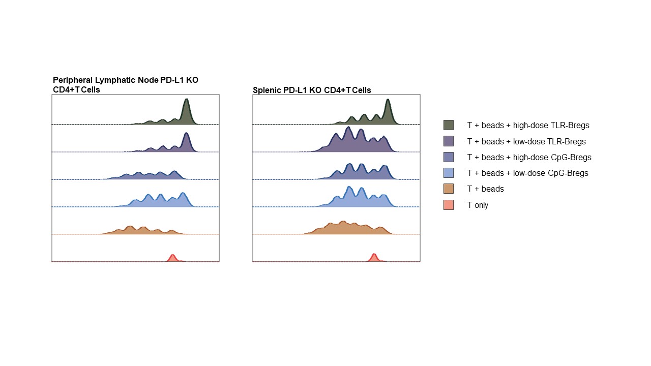
Method: Bregs were generated from purified splenic B cells of wild-type C57BL/6 (B6) mice and were ex-vivo stimulated via TLR9 and TLR4 for TLR-Bregs and TLR9 alone for control CpG-Bregs. 1.5X105 CD3-28 beads stimulated CD4+T cells from PD-L1 deficient (KO) mice were co-cultured with these Bregs, and proliferation was assessed through mixed lymphocyte reaction and CFSE trace. We distinguished PD-L1 expression and proliferation in CD4+T cells sourced separately from splenocytes and peripheral lymph nodes. Wells with Bregs alone were used as the control to estimate Breg reduction in the presence of CD4+T cells.
Results: Without Bregs, the CD4+T cell proliferation was similar between lymphatic-derived and splenic-derived. PD-L1 transfer was observed from TLR-Bregs to activated CD4+T cells derived from both splenocytes and lymphatic cells. CpG-Bregs did not transfer PD-L1 to CD4+T cells. Both CpG-Bregs and TLR-Bregs suppressed lymphatic CD4+T cells with dose-dependency, but TLR-Bregs showed more robust suppressive function than the same dose of CpG-Bregs. These results suggested that PD-L1 transfer from TLR-Bregs to lymphatic CD4+T cells is not functional. In contrast, A high dose (1.5X105) of CpG-Bregs slightly suppresses splenic-derived CD4+T cells, while a low dose (1X105) of CpG-Bregs cannot inhibit splenic-derived CD4+T cell proliferation, indicating splenic-derived CD4+T cells were more resistant to CpG-Bregs induced inhibition than lymphatic-derived CD4+T cells. Interestingly, low doses of TLR-Bregs could not inhibit the proliferation of splenic-derived CD4+T cells, while high doses of TLR-Bregs still inhibit the proliferation of splenic-derived CD4+T cells. For proliferating splenic-derived CD4+T cells, the CD4+PD-L1+ cell proportion and PD-L1 MFI were comparable after co-culturing with low-dose and high-dose TLR-Bregs. Notably, the live cell number of TLR-Bregs decreased more significant in a low-dose group than in the high-dose group after co-culturing with CD4+T cells. After co-culturing with CD4+T cells, a higher proportion of TLR-Bregs in the low-dose group became PD1+, while PD-L1 upregulation on TLR-Bregs in the low-dose group is less than counterparts in the high-dose group. These results indicated that the transferred PD-L1 on splenic CD4+T cells mediates suppression to TLR-Bregs in the low-dose group via PD-L1-PD1 signaling, resulting in more significant decreased live TLR-Bregs number and regulation function than TLR-Bregs in the high-dose group.
Conclusion: We present the first evidence of functional PD-L1 transfer from TLR-Bregs to splenic CD4+T cells. Our previous date observed PD-L1 transfer from CD4+T cells to CpG-Bregs and TLR-Bregs. If the PD-L1 transfer to Bregs is also functional, it may enhance the regulatory function of TLR-Bregs as the suppressive function of TLR-Bregs is PD-L1 dependent.

[1] Regulatory B Cells
[2] Co-stimulator
