Correlation of early graft dysfunction and baseline doppler ultrasound result
Paolo Angelo Igama1, Marc Anter E. Mejes1.
1Department of Organ Transplantation and Vascular Surgery, National Kidney and Transplant Institute, Quezon City, Philippines
Introduction: Allograft doppler ultrasonography is a readily available diagnostic tool to evaluate the renal allograft. Its benefit in evaluating a clinically unremarkable allograft is not well established.
Objectives: The primary objective of this study was to determine which doppler ultrasound parameters will correlate with early graft dysfunction.
Methods: A retrospective chart review of patients who underwent kidney transplantation between January 2017 to December 2021 done at the National Kidney and Transplant Institute, and had a baseline post-operative renal allograft doppler ultrasound were included.
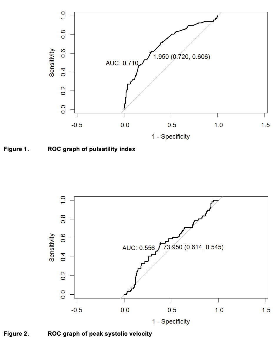
Results: 450 patients were included. 67 developed early graft dysfunction. Among the doppler ultrasound parameters analyzed, pulsatility index, with a cut-off of ≥ 1.95, revealed a sensitivity of 60.61% and specificity of 71.96%. The receiver operating characteristic area for the pulsatility index was 0.71, indicating a good discriminatory capacity. Peak systolic velocity, using a cut-off of ≤ 73.95, manifested a sensitivity of 54.55% and specificity of 61.42%. Its ROC area of 0.56 suggests moderate discriminating power. Overall, the pulsatility index appears to be a stronger diagnostic tool for early graft dysfunction.


Conclusion: A baseline doppler ultrasound done post-transplantation is a helpful diagnostic tool. An elevated pulsatility index correlates well in predicting early graft dysfunction. A larger prospective study will need to be performed before its routine use can be recommended.
[1] allografts
[2] kidney
[3] kidney transplantation
[4] retrospective studies
[5] ultrasonography
